| 产品编号 | 图片 | CAS No. | 名称及描述 | 规格 | 价格 | 分子式 | 快速订购 |
|---|---|---|---|---|---|---|---|
| WKQ-0007775 |
|
— |
格链孢醇甲基醚 暂无 咨询客服 - 100ug/ml 100mg/ |
0 | 需询价 | 暂无 | |
| WKQ-0007776 |
|
22862-76-6 |
茴香霉素/(2R,3S,4S)-2-(4-甲氧苯基)-3,4-吡咯二醇3-乙酸酯/回香霉素/茴香莓素/阿尼霉素/(2R,3S,4S)-4-羟基-2-(4-甲氧基苄基)吡咯烷-3-乙酸酯/梧宁霉素 C/链霉菌属 Anisomycin 咨询客服 - GC≥98% |
GC≥98% 1mg/支 | 需询价 | C14H19NO4 | |
| WKQ-0007777 |
|
641-38-3 |
交链孢酚/交链孢/隔交链孢/交替醇/格链孢醇 Alternariol 咨询客服 - HPLC≥98% |
1毫克 | 需询价 | C14H10O5 | |
| WKQ-0007778 |
|
25425-12-1 |
黄绿青霉素/黄绿霉毒素 Citreoviridin 咨询客服 - 待定 |
1毫克 | 需询价 | C23H30O6 | |
| WKQ-0007779 |
|
88054-24-4 |
去环氧-脱氧雪腐镰刀菌烯醇/去环氧脱氧雪腐镰刀菌醇 Deepoxydeoxynivalenol 咨询客服 - HPLC≥98% |
1毫克 | 需询价 | C15H20O5 | |
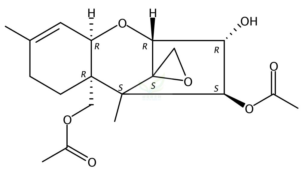
| WKQ-0007780 |
|
2270-40-8 |
蛇形菌素/蛇形霉素/二乙酰镳草镰刀菌烯醇/蛇形毒素 Diacetoxyscirpenol 咨询客服 - HPLC≥98% |
HPLC≥98% 1mg/支 | 需询价 | C19H26O7 | |
| WKQ-0007781 |
|
51481-10-8 |
脱氧雪腐镰刀菌烯醇/呕吐毒素/脱氧瓜萎镰菌醇/脱氧萎镰菌醇/去氧尼伐烯醇/3α,7α,15-三羟基-12,13-环氧单端孢霉-9-蒽-8-酮 Deoxynivalenol 咨询客服 - HPLC≥98% |
HPLC≥98% 1mg/支 | 需询价 | C15H20O6 | |
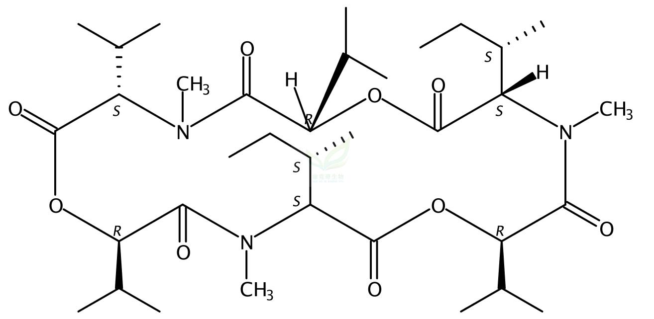
| WKQ-0007782 |
|
2503-13-1 |
恩镰孢菌素A Ennlatin A 咨询客服 - HPLC≥98% |
HPLC≥98% 1mg/支 | 需询价 | C36H63N3O9 | |
| WKQ-0007783 |
|
4530-21-6 |
恩镰孢菌素A1 Enniatin A1 咨询客服 - HPLC≥98% |
HPLC≥98% 1mg/支 | 需询价 | C35H61N3O9 | |
| WKQ-0007784 |
|
917-13-5 |
恩镰孢菌素B/恩镰饱菌素B/镰孢菌素 B/恩镰孢菌B Enniatin B 咨询客服 - HPLC≥98% |
HPLC≥98% 1mg/支 | 需询价 | C33H57N3O9 | |
| WKQ-0007785 |
|
19914-20-6 |
恩镰孢菌素B1 Enniatin B1 咨询客服 - HPLC≥98% |
HPLC≥98% 1mg/支 | 需询价 | C34H59N3O9 | |
| WKQ-0007786 |
|
564-36-3 |
麦角柯宁碱/麦角碱/麦角考宁 Ergocornine 咨询客服 - 待定 |
1毫克 | 需询价 | C31H39N5O5 | |
| WKQ-0007787 |
|
564-37-4 |
麦角异柯宁碱 Ergocorninine 咨询客服 - 待定 |
0 | 需询价 | C31H39N5O5 | |
| WKQ-0007790 |
|
511-10-4 |
麦角异卡里碱/麦角隐亭,25μg Ergocryptinine 咨询客服 - 待定 |
100毫克 | 需询价 | C32H41N5O5 | |
| WKQ-0007791 |
|
23110-15-8 |
烟曲霉素/夫马吉林/抗虫痢/(2E,4E,6E,8E)-10-(((3R,4S,5S,6R)-5-甲氧基-4-((2R,3R)-2-甲基-3-(3-甲基丁-2- 烯-1-基)环氧乙烯-2-基)-1-氧杂螺[2.5]辛烷-6-基)氧基)-10- 氧代十烷-2,4,6,8-四烯酸/组蛋白H3 Fumagillin 咨询客服 - HPLC≥98% |
1毫克 | 需询价 | C26H34O7 | |
| WKQ-0007793 |
|
67-99-2 |
胶霉毒素/胶霉素/胶毒霉素 Gliotoxin 咨询客服 - HPLC≥98% |
2毫克 | 需询价 | C13H14N2O4S2 | |
| WKQ-0007794 |
|
126-07-8 |
灰黄霉素/(+)-灰黄霉素 Griseofulvin/(+)-Griseofulvin 咨询客服 - HPLC≥97% |
HPLC≥97% 20mg/支 | 需询价 | C17H17ClO6 | |
| WKQ-0007796 |
|
71751-77-4 |
Meleagrin 咨询客服 - 待定 |
1毫克 | 需询价 | C23H23N5O4 | |
| WKQ-0007797 |
|
36519-25-2 |
新茄病镰刀菌烯醇/8-羟基二乙酰氧基草镰刀菌烯醇/茄病镰刀菌烯醇/新茄镰孢菌醇 Neosolaniol 咨询客服 - HPLC≥98% |
HPLC≥98% 1mg/支 | 需询价 | C19H26O8 | |
| WKQ-0007798 |
|
4825-86-9 |
赭曲霉毒素B/赭曲霉素/赭曲霉素B/赭曲毒素B Ochratoxin B 咨询客服 - HPLC≥98% |
HPLC≥98% 1mg/支 | 需询价 | C20H19NO6 | |